news
公司新聞
陶瓷碳納米管復合膜的制備及其在高溫油水分離中應用
據大工環境膜技術微信公眾平臺2019年4月16日訊 含油廢水是一種常見的量大面廣污染物,對環境保護和生態平衡危害極大。膜分離技術作為一種新型、**的分離技術,在含油廢水的處理方面起著舉足輕重的作用,工業過程中排放的高溫凝結水含有乳化液,且溫度較高(80~120℃),直接分離是目前膜技術面臨的重要難題。因此,急需開發耐熱性和分離性能兼顧的**膜材料。

Fig. 1. Cartoon of theoil/water separation process by mullite-CNT composite membrane.
無機陶瓷膜具有耐高溫的**性能,特別適合處理高溫凝結水等應用。但傳統的無機膜制備方法如溶膠凝膠法的制備過程復雜、工序繁瑣和條件苛刻導致能耗和成本較高,而且要獲得小孔徑的膜如超濾膜或納濾膜十分困難,難以實現可控性規模制備。因此,開辟和嘗試新的簡單制備方法以實現可調控制備超濾膜具有實際價值。

| Fig. 2. (a) Enlarged cross-sectional SEM image ofmullite substrate (the inset shows a typical inner surface SEM image), (b)cross sectional SEM image of mullite substrate (c) photograph of mullitesubstrate (left) and mullite-CNT membrane (right); (d) low magnificationcross-sectional SEM image of mullite-CNT membrane; (e) higher magnificationcross-sectional SEM image of mullite-CNT membrane; (f) EDS element linescanning image of mullite-CNT membrane; (g) surface SEM image of mullite-CNTmembrane. |
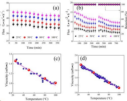
針對上述技術瓶頸問題,在前期工作基礎上(Nano Letters,18 (9) (2018) 5514–5521;WaterResearch, 90 (2016) 277-285;Journal of the European Ceramic Society, 35 (2015) 711-721.等),朱麗博士(董應超教授博士生)等人嘗試利用化學氣相沉積法(Chemical vapor deposition, CVD)在中空纖維莫來石陶瓷支撐體上原位生長碳納米管(Carbon nanotubes, CNTs) 超濾膜。該法主要是運用納米尺度的過渡金屬作為催化劑,熱解含碳的氣源在陶瓷基載體上原位制備碳納米管膜層。在高溫乳化油分離實驗中,當溫度從25℃上升到100℃時,CNTs 復合陶瓷超濾膜對油的截留率依然保持在99.9%以上,能夠有效實現油水分離,復合膜具有良好的耐高溫性能,對高溫凝結水不需降溫可直接進行處理,既可以省去前處理降溫工藝和節省能源,同時又避免了在降溫過程中凝結水的二次污染。節省能源的同時又降低了運行成本。陶瓷基碳納米管復合膜不僅在高鹽廢水處理方面具有很好的應用潛力(前期工作:Nano Letters 18(9) (2018) 5514–5521),在工業高溫凝結水處理領域也將具有廣闊的應用前景。

| Fig. 3. Variations in permeation fluxwith separation time for pure water (a); variation of permeation flux and oilrejection with separation time for O/W emulsions (with concentration of 200mg·L-1) (b) at different membrane operating temperatures (25℃, 50℃, 80℃ and 100℃) and variation of viscosity with membrane operating temperature forpure water (c) and O/W emulsions (d). |
上述研究成果以“Fabrication of mullite ceramic-supported carbonnanotube composite membranes with enhanced performance in direct separation ofhigh-temperature emulsified oil droplets”為題發表于膜領域重要學術期刊Journal of Membrane Science上(Journal of Membrane Science, 582 (2019) 140-150)(IF=6.578,2017年),**作者為朱麗博士,通訊作者為董應超教授。同時相關研究成果也申請了兩項**(國家發明**“一種碳納米管/多孔陶瓷中空纖維復合超濾膜、制備方法及用途”,申請號:201511002441.6;國家發明**“一種莫來石陶瓷中空纖維膜及其制備方法”,申請號:201511002471.7)
項目研究工作得到了國家自然科學基金(No.21876020)、興遼英才計劃(No.XLYC1807250)、遼寧自然科學基金**項目(No.20180510005)、中央高校基本科研業務費專項資金(大連理工大學人才引進專項資金No.DUT18LAB02和**實驗室科研專題No.DUT16RC(3)050)、高等學校學科創新引智計劃(111計劃,持久性有毒物質的污染預防與控制創新引智基地)等的聯合資助。本工作也得到了大連理工大學環境學院楊鳳林教授的指導,同時,感謝天津大學Michael D. Guiver教授和華南理工大學董新法教授的幫助與支持。
作者簡介:
朱麗,女,工學博士,一直從事陶瓷膜與環境應用方面的研究工作,在國際重要學術期刊Water Res. J. Membr. Sci., J. Eur. Ceram. Soc., Chemosphere和RSC Adv.等發表論文16篇(SCI收錄12篇),其中**作者SCI論文7篇,3項發明**,多次獲得各類獎學金。